Life Cycle Assessment Harmonization
In this project, NREL reviewed and harmonized life cycle assessments (LCAs) of electricity generation technologies to reduce uncertainty around estimates for environmental impacts and increase the value of these assessments to the policymaking and research communities.
Hundreds of life cycle assessments have been published, with considerable variability in results. These variations in approach hampered comparison across studies and the pooling of published results. NREL harmonized these data to:
- Understand the range of published results of LCAs of electricity generation technologies
- Reduce the variability in published results
- Clarify the central tendency of published estimates.
Harmonized Results

Comparison of as-published and harmonized life cycle greenhouse gas emission estimates for selected electricity generation technologies. Enlarge greenhouse gas chart
In subsequent project phases, NREL adjusted the estimates to a consistent set of methods and assumptions specific to each technology. Like the published data, the harmonized data showed that life cycle greenhouse gas emissions from solar, wind, and nuclear technologies are considerably lower and less variable than emissions from technologies powered by combustion-based natural gas and coal.
Harmonization did not significantly change the central tendency (as indicated by the median value) of any of the technologies evaluated. Harmonization did, however, reduce the variability of GHG emissions estimates.
See the results from NREL's review, analysis, and harmonization of published life cycle assessment estimates for these technologies:

Side-by-side comparison of central tendency and spread of as-published GHG emission estimates for wind power systems
For more information:
Wind LCA Harmonization, NREL Fact Sheet (2013)
Life Cycle Greenhouse Gas Emissions of Utility-Scale Wind Power: Systematic Review and Harmonization, Journal of Industrial Ecology (2012)
IPCC Special Report on Renewable Energy Sources and Climate Change Mitigation: Wind Energy (2011)

Summary of harmonization results for crystalline silicon and thin film photovoltaic systems
For more information:
An Updated Life Cycle Assessment of Utility-Scale Solar Photovoltaic Systems Installed in the United States, NREL Technical Report (2024)
Energy and Carbon Payback Times for Modern U.S. Utility Photovoltaic Systems, NREL Fact Sheet (2024)
Life Cycle Greenhouse Gas Emissions from Solar Photovoltaics, NREL Fact Sheet (2012)
Life Cycle Greenhouse Gas Emissions of Thin-film Photovoltaic Electricity Generation: Systematic Review and Harmonization, Journal of Industrial Ecology (2012)
Life Cycle Greenhouse Gas Emissions from Crystalline Silicon Photovoltaic Electricity Generation: Systematic Review and Harmonization, Journal of Industrial Ecology (2012)
IPCC Special Report on Renewable Energy Sources and Climate Change Mitigation: Direct Solar Energy (2011)

Summary of harmonization results for parabolic trough and power tower CSP electricity generation technologies
For more information:
Life Cycle Greenhouse Gas Emissions from Concentrating Solar Power, NREL Fact Sheet (2012)
Life Cycle Greenhouse Gas Emissions from Trough and Tower Concentrating Solar Power Electricity Generation: Systematic Review and Harmonization, Journal of Industrial Ecology (2012)
IPCC Special Report on Renewable Energy Sources and Climate Change Mitigation: Direct Solar Energy (2011)

Published and harmonized life cycle GHG emission distribution plots (Whiskers represent minimums and maximums. Boxes represent 25th percentile, median estimate, and 75th percentile.)
For more information:
Life Cycle Greenhouse Gas Emissions from Nuclear Electricity Generation: Systematic Review and Harmonization, Journal of Industrial Ecology (2012)

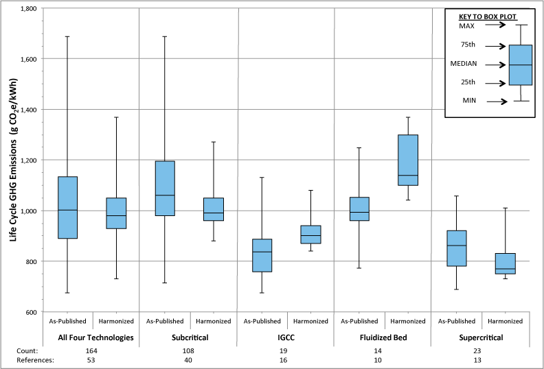
As-published and technology-specific harmonized estimates of life cycle GHG emissions for coal-fired electricity generation considering all four evaluated technologies as a group and each evaluated technology independently
For more information:
Life Cycle Greenhouse Gas Emissions from Coal-Fired Electricity Generation: Systematic Review and Harmonization, Journal of Industrial Ecology (2012)

Comparison of published to harmonized life cycle GHG emission estimates for natural gas electricity generation technologies using conventionally and unconventionally produced natural gas
For more information:
Harmonization of Initial Estimates of Shale Gas Life Cycle Greenhouse Gas Emissions for Electric Power Generation, Proceedings of the National Academy of Science of the United States of America (2014)
Life Cycle Greenhouse Gas Emissions of Electricity Generated from Conventionally Produced Natural Gas, Journal of Industrial Ecology (2014)
Published Results

Comparison of as-published life cycle GHG emission estimates for electricity generation and electricity storage technologies. The impacts of the land use change are excluded from this analysis. Enlarge GHG chart
The data showed that life cycle greenhouse gas (GHG) emissions from technologies powered by renewable resources are generally less than from those powered by fossil fuel-based resources. The central tendencies of all renewable technologies are between 400 and 1,000 g CO2eq/kWh lower than their fossil-fueled counterparts without carbon capture and sequestration (CCS).
In the first phase of this project, NREL analyzed published life cycle GHG estimates for hydropower, ocean, geothermal, biopower, solar, wind, nuclear, coal, and natural gas technologies.
See the results of the review and analysis of published LCA estimates for these technologies:

Life cycle GHG emissions for biopower technologies per unit of electricity generation, including supply chain emissions. See 1.
For more information:
Literature Review and Sensitivity Analysis of Biopower Life-Cycle Assessments and Greenhouse Gas Emission, Electric Power Research Institute (2013)
IPCC Special Report on Renewable Energy Sources and Climate Change Mitigation: Bioenergy (2011)

Estimates of life cycle GHG emissions from geothermal power generation
For more information:
Systematic Review of Life Cycle Greenhouse Gas Emissions from Geothermal Electricity NREL Technical Report (2017)
IPCC Special Report on Renewable Energy Sources and Climate Change Mitigation: Geothermal Energy (2011)

Life cycle GHG emissions of hydropower technologies
For more information:
IPCC Special Report on Renewable Energy Sources and Climate Change Mitigation: Hydropower (2011)

Estimates of life cycle GHG emissions of wave and tidal range technologies
For more information:
IPCC Special Report on Renewable Energy Sources and Climate Change Mitigation: Ocean Energy (2011)
Publications
Life Cycle Greenhouse Gas Emissions from Electricity Generation: Update, NREL Fact Sheet (2021)
Life Cycle Greenhouse Gas Emissions from Electricity Generation, NREL Fact Sheet (2013)
Meta-Analysis of Life Cycle Assessments, Journal of Industrial Ecology (2012)
Harmonization of Initial Estimates of Shale Gas Life Cycle Greenhouse Gas Emissions for Electric Power Generation, Proceedings of the National Academy of Sciences of the United States of America (2014)
IPCC Special Report on Renewable Energy Sources and Climate Change Mitigation (2011)
Contact
Garvin Heath
Share